WILDFIRE AFTERMATH: ARE OUR BEACHES SAFE?

In the aftermath of the Los Angeles megafires, there is an increased risk of dangerous debris and pollutants reaching the Santa Monica Bay and its shoreline. Heal the Bay has been monitoring all incoming data on beach sand – specifically from the Los Angeles Regional Water Quality Control Board and the California Coastal Alliance – to determine any potential impact on human health.
UPDATE – NEW DATA COLLECTED ON APRIL 29 and 30, 2025. Results are consistent with previous sampling efforts (i.e. no exceedances of risk screening levels) and this round includes new tests for Hexavalent Chromium. Get the full update below!
What you need to know:
-
- We lack established guidelines for health risks from contaminated sand. There are no existing human health limits to determine risk from recreating on sand, making it challenging to assess the risk that a day on the beach may have on your health. However, using EPA analytical tools, Heal the Bay has evaluated the most recent sand data from across Santa Monica Bay to provide the public with the best assessment available of current health risk.
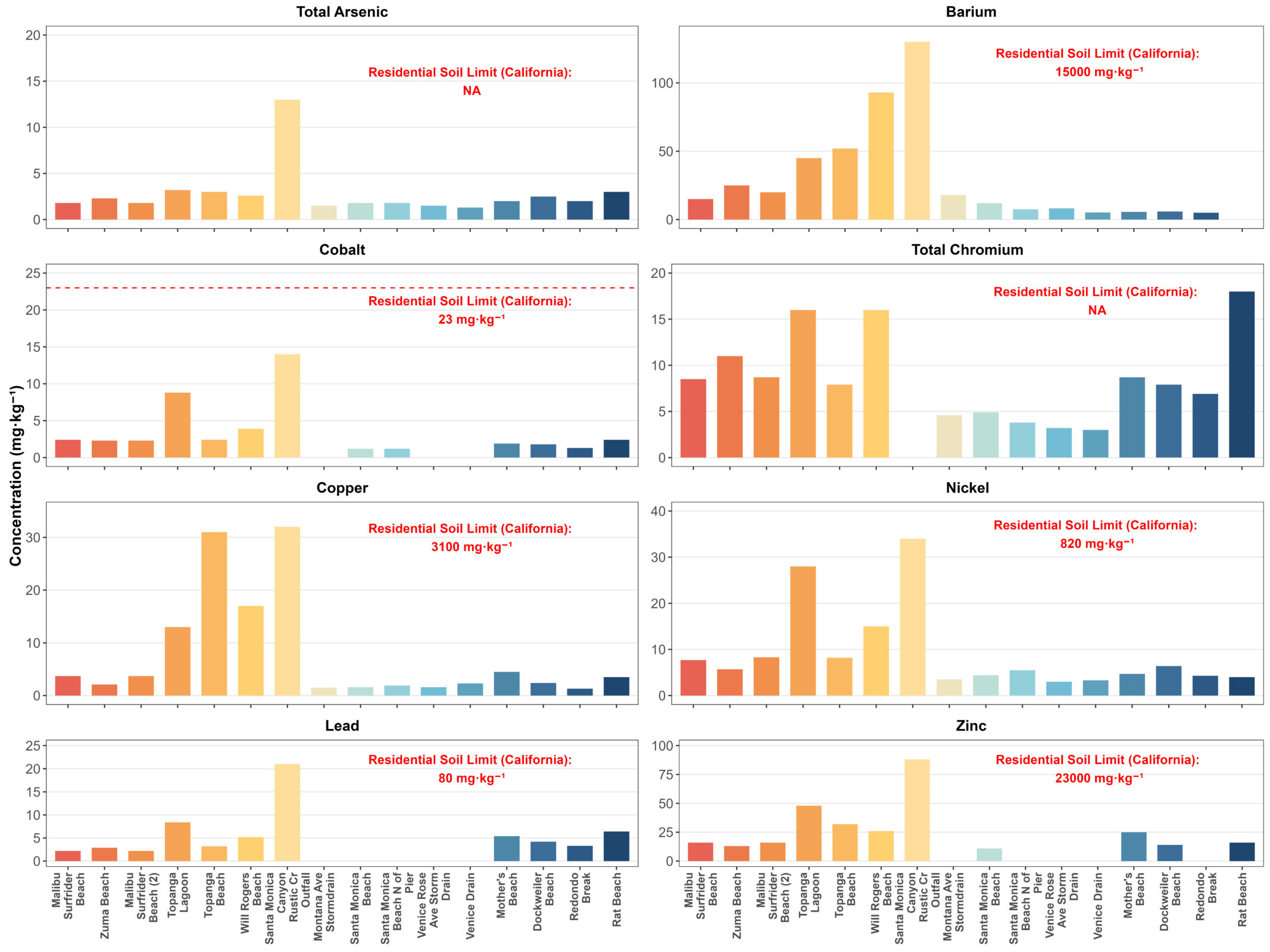
- Testing of sand does not reveal any urgent, lethal threats. All available data, which includes testing from a variety of heavy metals, including mercury, barium, chromium, arsenic, and lead, appears to be below the risk-thresholds for human health.
- Acquiring missing data is key to ensuring safety. Previous data did not include testing for specific — and particularly concerning — types of arsenic and chromium: Inorganic Arsenic or Hexavalent Chromium (also known at Chromium-6), both of which can be harmful in lower concentrations.
- UPDATE – sampling conducted on April 29 and April 30 included Hexavalent Chromium. Results discussed below. The Regional Board did not test for Inorganic Arsenic, also discussed below.
- Chromium: The Los Angeles Regional Water Quality Control Board samples were analyzed for Total Chromium, which is a combination of Trivalent Chromium (an essential nutrient and not a health risk) and Hexavalent Chromium.
- Hexavalent Chromium, also known as Chromium 6, is usually produced by an industrial process, such as hardening alloy steel, and is known to cause cancer and can target the respiratory system, kidneys, liver, skin, and eyes.
- While there is no existing human health risk-threshold for Total Chromium concentrations, the levels for Total Chromium were found to be significantly above the human health limit for Hexavalent Chromium of 0.1 ug/L, which is the reason we recommended additional testing for Hexavalent Chromium.
- In the April 29/30 samples, all test results for Hexavalent Chromium were Not Detected (ND), which is great news. Heal the Bay is recommending that two locations, Surfrider in Malibu and Rustic Creek Outfall, be tested again because the method detection limits applied to samples from those locations exceeded the risk screening level, so the “Not Detected” result does not definitively show that Hexavalent Chromium concentrations are below the risk screening level. Out of an abundance of caution, additional samples should be analyzed for these two locations.
- Arsenic: The Los Angeles Regional Water Quality Control Board samples were analyzed for Total Arsenic, which is a combination of Organic Arsenic and Inorganic Arsenic.
- Inorganic Arsenic is highly toxic but health impacts are most common with exposure from drinking water or contaminated foods. We are investigating the potential health impacts from being exposed while playing in sand.
- Total Arsenic concentrations were generally within background levels, meaning levels previously found in the environment before a potential new contamination. We suspect that is because organic arsenic naturally occurs in local soils. However, these levels were above the risk threshold for Inorganic Arsenic. We therefore need to understand the specific levels of Inorganic Arsenic to ensure safety.
- Rustic Creek Outfall – Total Arsenic here was at least three times higher than at other burned-area beaches, but still within the upper background limit (12 mg/kg). Therefore, this location requires specific caution and should be avoided until further testing confirms its safety.
- UPDATE: Inorganic Arsenic was not included in the latest round of sampling by the LA Regional Water Board. Since our last post, we have been meeting with a group of toxicologists and public health experts. These toxicology experts do not believe testing for inorganic arsenic is warranted because total arsenic levels are within background levels and inorganic arsenic is primarily hazardous when ingested; dermal contact is not considered a significant route of exposure under typical environmental conditions.
- Heal the Bay continues to advocate for testing of inorganic arsenic. It will provide a more in depth understanding of risk, and can also provide peace of mind for beach visitors. Heal the Bay is looking into adding inorganic arsenic into our summer sampling events
What’s Next?
- Additional Specific Testing for Inorganic Arsenic and Hexavalent Chromium. These findings do not necessarily suggest an immediate public health threat. But they do make clear that we need more testing of the sand, including dedicated testing for Inorganic Arsenic and Hexavalent Chromium to ensure the public has an accurate assessment of risk.
- Heal the Bay is planning to collect sand and water samples from three beaches with stormdrain outfalls, including Rustic Creek Outfall. We are reaching out to labs and will plan to include inorganic arsenic and hexavalent chromium.
- Recommendations for new public health risk-thresholds for sand contamination from climate disasters. Heal the Bay is part of the Southern California Coastal Water Research Project Task Force, which is developing new guidelines for fire-related water quality and sand monitoring efforts. We expect these new guidelines will be released by the end of June.
Keeping Yourself and Your Families Safe
- Based on the assessment of currently available data, it appears that the health risk from recreational contact with sand was low at the time of sampling across beaches along Santa Monica Bay. It’s unlikely that contaminant levels have increased since sampling was conducted, but additional testing will help to confirm and provide assurances to beachgoers.
- Given that we do not have specific data on Inorganic Arsenic and Hexavalent Chromium, and physical debris hazards have been observed near burned properties along PCH and near stormdrain outfalls that drain areas within the burn area, we are advising the following precautions for the time being:
-
-
Avoid beaches within the burn area and within 100-yards of Rustic Canyon Outfall at Will Rogers Beach (near Chautauqua Blvd.) in Santa Monica.
- Parents and pet-owners should take extra precautions and ensure children and pets aren’t consuming sand.
- Consider wearing shoes if walking in the wet sand or near a stormdrain outfall.
- If you see debris that clearly came from a burned structure, do not touch it with your bare hands.
- You may also consider rinsing off after returning home from the beach.
-
-
- Risk tolerance is a very personal decision, we are providing data to help inform your decisions.
How we assessed potential risk:
- Heal the Bay used Department of Toxic Substances Control Toxicity Criteria for Human Health Risk Assessments, Screening Levels, and Remediation Goals and the EPA Risk-Screening Level Calculator to determine health risk from recreating on sand.
- We evaluated sand quality data from the Los Angeles Regional Water Quality Control Board collected between February 25th and 27th. The data is available here.
- The LA Regional Board samples were collected from sand/sediment areas that appeared to be the most polluted, including darker “char” in the wet sand and stormwater outfalls.

An example of the sand conditions during February testing. Via Los Angeles Regional Water Quality Control Board.
- The LA Regional Board tested for contaminants they determined could potentially be present after an urban fire.
- The LA Regional Board will be collecting a second round of samples in May 2025.
- The LA Regional Board samples were collected from sand/sediment areas that appeared to be the most polluted, including darker “char” in the wet sand and stormwater outfalls.
- We also evaluated sand quality data collected by the CA Coastal Alliance from after the fires through February 14, 2025, which was consistent with the LA Regional Board’s data.


